扫描二维码
关注新葡的京官网

首页  新闻动态  学院通知

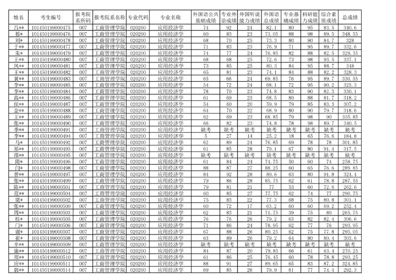
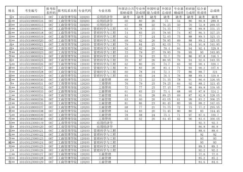
新葡的京集团35222vip2020年博士招考成绩发布

发布时间:2019/12/27 12:59:54

各位考生:

       新葡的京官网2020年博士申请考核和硕博连读考核成绩现已发布,请查看下方文件。

       对成绩有异议的考生可在3个工作日内申请成绩复核。具体程序为:本人填写成绩复核申请,并提交身份证明,交由新葡的京集团35222vip教学科研办公室(浑南校区文管学馆B310)或发送邮件至xujing@mail.neu.edu.cn。

       拟录取公告另行发布。





2020年博士申请考核和硕博连读考核成绩.pdf


博士成绩复核申请表.doc

上一篇:下一篇:

快速链接

扫一扫,欢迎关注
管理学院官方微信